Background
The treatment landscape for chronic lymphocytic leukaemia (CLL) has significantly changed over the past decade with the advent of targeted therapies. Subsequent improvement in remission rates has been seen in all patient groups, however patients with high-risk genetic features (del17p, TP53 mutation) continue to have poorer outcomes. In such patients, and in multiply relapsed/refractory standard risk patients, allogeneic stem cell transplantation remains a viable management option despite the associated morbidity and mortality. The aim of this study was to examine trends in allogeneic stem cell transplantation for CLL in Australia and New Zealand over the past decade, and to identify predictive factors for overall survival (OS) and progression free survival (PFS).
Methods
Data was collected through the Australasian Bone Marrow Transplant Recipient Registry (ABMTRR) for patients receiving a first allogeneic stem cell transplantation for CLL, in the absence of Richter's transformation, between January 2009 and December 2018. Transplant outcomes were compared between 2 time periods, 2009-2013 and 2014-2018 using log rank test for survival and Gray's test for cumulative incidence curves. Cox regression analysis was performed to identify factors predictive of survival. Medians are reported with ranges, hazard ratios (HR) and cumulative incidence with 95% confidence intervals (CI).
Results
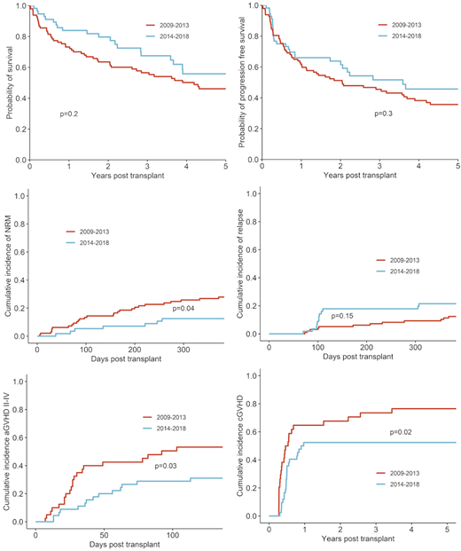
A total of 153 patients (75% males) were included. Median age at transplantation was 55 years (range 23-69) with a median time from diagnosis to transplantation of 5.7 years (range 100days - 24.7years). Most patients received reduced intensity or non-myeloablative conditioning (84.3%, n=129) and did not receive T cell depleting therapy (73%, n=94). The median follow up was 5.9 years (range 0.8-11years). Median time to neutrophil engraftment was 16 days (range 6-49) and median time to platelet engraftment was 18 days (range 1-69). At 100 days following transplantation the cumulative incidence of graft failure was 3.9%, CMV reactivation 41% (95% CI 31-50%) and CMV disease 3.2% (95% CI 1-8%). Acute graft versus host disease (aGVHD) grade II-IV occurred in 39% (95% CI 29-49%) of patients and grade III-IV in 17% (95% CI 9-25%). The cumulative incidence of chronic GVHD (cGVHD) was 65% (95% CI 53-76%) at 5 years; extensive cGVHD occurred in 77% of patients with cGVHD. Median OS was 4.3 years (95% CI 3.6-not reached) and PFS was 2.6 years (95% CI 1.7-3.9). The most common contributors to mortality were infection (43%), GVHD (40%) and persistent disease or relapse (24%).
In a multivariate analysis active disease at time of transplantation was associated with a worse OS (HR 2.16, 1.01-4.63), however, age, matched sibling donor, myeloablative conditioning and the use of T cell depleting therapies did not have a significant impact. The use of myeloablative conditioning was associated with improved PFS (HR 1.85, 1.1-3.1) in a univariate analysis but lost significance in multivariate analysis.
Ninety-seven patients underwent transplantation between 2009-2013 and 56 patients between 2014-2018. There was no statistical difference in patient age, performance status, donor or disease status at transplantation between the groups. Myeloablative conditioning was used in 18.6% and 8.9% (p=0.197), and T cell depleting therapy in 25% and 31% (p=0.58), for the 2009-2013 and 2014-2018 periods respectively. There was a significant improvement in 5-year non-relapse mortality (NRM) from 41.5% (31-52%) to 23.4% (13-29%; p=0.04). Five year OS (46% vs 56%), PFS (36% vs 46%) and relapse rates (21% vs 31%) were not statistically different. Cumulative incidence of both acute and chronic GVHD was reduced in the later cohort; aGVHD 51% (95% CI 34-65%) vs 29% (95% CI 16-43%; p=0.03), cGVHD 76% (95% CI 57-88%) vs 53% (36-66%; p=0.02). Kaplan-meier and cumulative incidence curves for these outcomes are presented in figure 1.
Conclusion
The number of allogeneic stem cell transplantations performed for CLL has reduced over the past decade in Australasia. There has been an improvement in NRM and incidence of GVHD, however OS and PFS have not significantly changed. This may reflect improved GVHD prophylaxis and management, or advances in supportive care. Further analysis of impact of high-risk genetic factors at transplantation is pending at the time of abstract submission.
Spencer:Celgene, Janssen and Takeda: Speakers Bureau; AbbVie, Celgene, Haemalogix, Janssen, Sanofi, SecuraBio, Specialised Therapeutics Australia, Servier and Takeda: Consultancy; Amgen, Celgene, Haemalogix, Janssen, Servier and Takeda: Research Funding; AbbVie, Amgen, Celgene, Haemalogix, Janssen, Sanofi, SecuraBio, Specialised Therapeutics Australia, Servier and Takeda: Honoraria. Greenwood:Amgen: Membership on an entity's Board of Directors or advisory committees, Speakers Bureau; MSD: Membership on an entity's Board of Directors or advisory committees; Servier: Membership on an entity's Board of Directors or advisory committees, Speakers Bureau. Tam:AbbVie: Honoraria, Research Funding; BeiGene: Honoraria; Janssen: Honoraria, Research Funding. Di Ciaccio:Jansen: Honoraria, Other: travel and accomodation grant. Hamad:Novartis: Honoraria; Abbvie: Honoraria.
Author notes
Asterisk with author names denotes non-ASH members.

This feature is available to Subscribers Only
Sign In or Create an Account Close Modal